Introduction
Related Papers
Methods
Results
Discussion
-1.png)
-2.png)
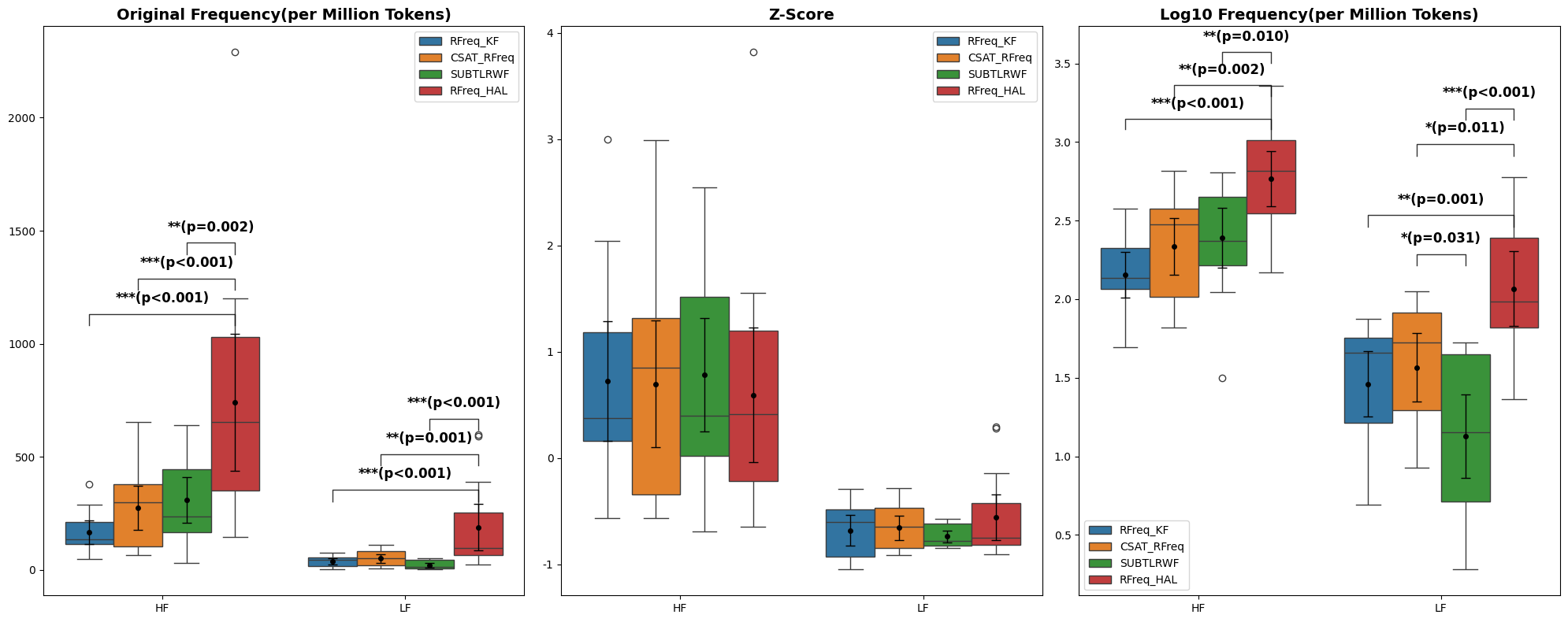
/boxplot(Jiang,2020).png)
/confplot(Jiang,2020).png)
=== ORIGINAL 변환 ANOVA 결과 요약 ===
[HF 그룹]
🔍 ANOVA 가정 검증
=== 정규성 검정 (Shapiro-Wilk test) ===
RFreq_KF: p-value = 0.2686 ✅ 정규분포
CSAT_RFreq: p-value = 0.1849 ✅ 정규분포
SUBTLRWF: p-value = 0.4082 ✅ 정규분포
RFreq_HAL: p-value = 0.0127 ❌ 정규분포 아님
=== 등분산 검정 ===
Levene's test: p-value = 0.0003 ❌ 등분산 아님
Bartlett's test: p-value = 0.0000 ❌ 등분산 아님
=== 이상치 검출 ===
RFreq_KF: 1개 이상치 발견
CSAT_RFreq: 이상치 없음
SUBTLRWF: 이상치 없음
RFreq_HAL: 1개 이상치 발견
=== 종합 결과 ===
모든 가정 만족: ❌ 아니오
ANOVA 결과:
F-statistic: 10.1859
p-value: 0.0000
eta-squared: 0.3530
유의성: 유의함
Tukey's HSD 결과:
그룹 쌍별 비교:
CSAT_RFreq vs RFreq_HAL: diff = 465.745, CI[169.646,761.843], p = 0.0006 *** (유의함)
CSAT_RFreq vs RFreq_KF: diff = -107.099, CI[-403.197,189.000], p = 0.7738 (유의하지 않음)
CSAT_RFreq vs SUBTLRWF: diff = 33.559, CI[-262.539,329.658], p = 0.9905 (유의하지 않음)
RFreq_HAL vs RFreq_KF: diff = -572.844, CI[-868.942,-276.745], p = 0.0000 *** (유의함)
RFreq_HAL vs SUBTLRWF: diff = -432.185, CI[-728.284,-136.087], p = 0.0016 ** (유의함)
RFreq_KF vs SUBTLRWF: diff = 140.658, CI[-155.440,436.757], p = 0.5932 (유의하지 않음)
[LF 그룹]
🔍 ANOVA 가정 검증
=== 정규성 검정 (Shapiro-Wilk test) ===
RFreq_KF: p-value = 0.0502 ✅ 정규분포
CSAT_RFreq: p-value = 0.0891 ✅ 정규분포
SUBTLRWF: p-value = 0.0049 ❌ 정규분포 아님
RFreq_HAL: p-value = 0.0014 ❌ 정규분포 아님
=== 등분산 검정 ===
Levene's test: p-value = 0.0005 ❌ 등분산 아님
Bartlett's test: p-value = 0.0000 ❌ 등분산 아님
=== 이상치 검출 ===
RFreq_KF: 이상치 없음
CSAT_RFreq: 이상치 없음
SUBTLRWF: 이상치 없음
RFreq_HAL: 2개 이상치 발견
=== 종합 결과 ===
모든 가정 만족: ❌ 아니오
ANOVA 결과:
F-statistic: 9.4672
p-value: 0.0000
eta-squared: 0.3213
유의성: 유의함
Tukey's HSD 결과:
그룹 쌍별 비교:
CSAT_RFreq vs RFreq_HAL: diff = 137.887, CI[44.626,231.149], p = 0.0013 ** (유의함)
CSAT_RFreq vs RFreq_KF: diff = -12.470, CI[-105.731,80.791], p = 0.9847 (유의하지 않음)
CSAT_RFreq vs SUBTLRWF: diff = -29.025, CI[-122.286,64.236], p = 0.8436 (유의하지 않음)
RFreq_HAL vs RFreq_KF: diff = -150.357, CI[-243.618,-57.096], p = 0.0004 *** (유의함)
RFreq_HAL vs SUBTLRWF: diff = -166.912, CI[-260.174,-73.651], p = 0.0001 *** (유의함)
RFreq_KF vs SUBTLRWF: diff = -16.555, CI[-109.817,76.706], p = 0.9655 (유의하지 않음)