Introduction
Related Papers
Methods
Results
Discussion
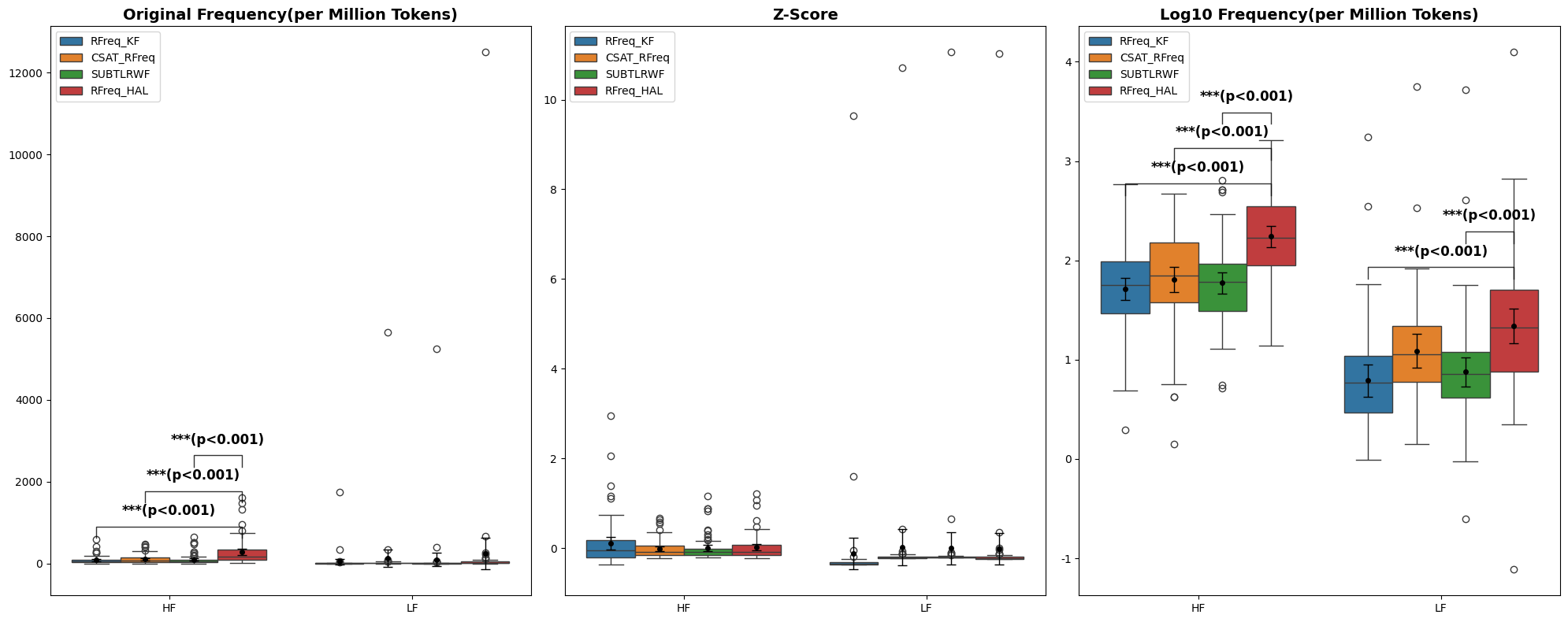
-1.png)
-2.png)
-3.png)
/boxplot(Gollan,2008).png)
/confplot(Gollan,2008).png)
=== ORIGINAL 변환 ANOVA 결과 요약 ===
[HF 그룹]
🔍 ANOVA 가정 검증
=== 정규성 검정 (Shapiro-Wilk test) ===
RFreq_KF: p-value = 0.0000 ❌ 정규분포 아님
CSAT_RFreq: p-value = 0.0000 ❌ 정규분포 아님
SUBTLRWF: p-value = 0.0000 ❌ 정규분포 아님
RFreq_HAL: p-value = 0.0000 ❌ 정규분포 아님
=== 등분산 검정 ===
Levene's test: p-value = 0.0000 ❌ 등분산 아님
Bartlett's test: p-value = 0.0000 ❌ 등분산 아님
=== 이상치 검출 ===
RFreq_KF: 5개 이상치 발견
CSAT_RFreq: 5개 이상치 발견
SUBTLRWF: 10개 이상치 발견
RFreq_HAL: 5개 이상치 발견
=== 종합 결과 ===
모든 가정 만족: ❌ 아니오
ANOVA 결과:
F-statistic: 16.1360
p-value: 0.0000
eta-squared: 0.1570
유의성: 유의함
Tukey's HSD 결과:
그룹 쌍별 비교:
CSAT_RFreq vs RFreq_HAL: diff = 176.476, CI[90.363,262.588], p = 0.0000 *** (유의함)
CSAT_RFreq vs RFreq_KF: diff = -25.487, CI[-111.599,60.626], p = 0.8700 (유의하지 않음)
CSAT_RFreq vs SUBTLRWF: diff = -9.121, CI[-95.234,76.992], p = 0.9928 (유의하지 않음)
RFreq_HAL vs RFreq_KF: diff = -201.962, CI[-288.075,-115.849], p = 0.0000 *** (유의함)
RFreq_HAL vs SUBTLRWF: diff = -185.597, CI[-271.709,-99.484], p = 0.0000 *** (유의함)
RFreq_KF vs SUBTLRWF: diff = 16.366, CI[-69.747,102.478], p = 0.9610 (유의하지 않음)
[LF 그룹]
🔍 ANOVA 가정 검증
=== 정규성 검정 (Shapiro-Wilk test) ===
RFreq_KF: p-value = 0.0000 ❌ 정규분포 아님
CSAT_RFreq: p-value = 0.0000 ❌ 정규분포 아님
SUBTLRWF: p-value = 0.0000 ❌ 정규분포 아님
RFreq_HAL: p-value = 0.0000 ❌ 정규분포 아님
=== 등분산 검정 ===
Levene's test: p-value = 0.7249 ✅ 등분산
Bartlett's test: p-value = 0.0000 ❌ 등분산 아님
=== 이상치 검출 ===
RFreq_KF: 4개 이상치 발견
CSAT_RFreq: 7개 이상치 발견
SUBTLRWF: 6개 이상치 발견
RFreq_HAL: 7개 이상치 발견
=== 종합 결과 ===
모든 가정 만족: ❌ 아니오
ANOVA 결과:
F-statistic: 0.4700
p-value: 0.7035
eta-squared: 0.0060
유의성: 유의하지 않음