Introduction
Related Papers
Methods
Results
Discussion
.png)
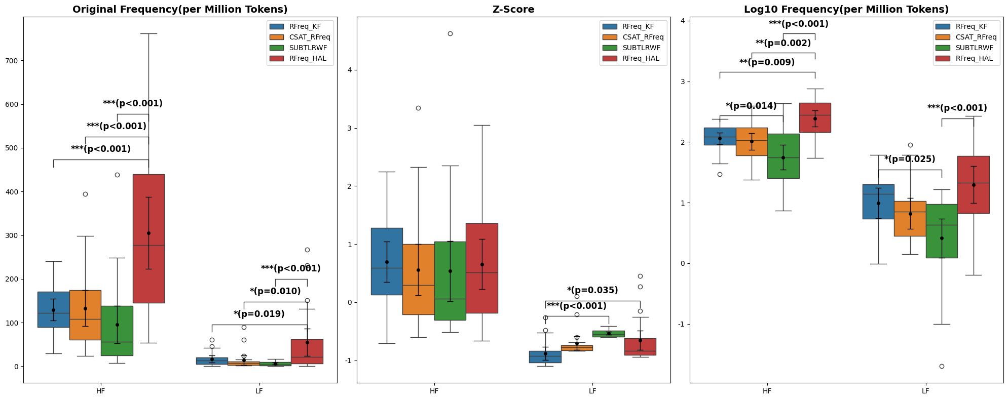
/boxplot(Wouter,2008).png)
/confplot(Wouter,2008).png)
=== ORIGINAL 변환 ANOVA 결과 요약 ===
[HF 그룹]
🔍 ANOVA 가정 검증
=== 정규성 검정 (Shapiro-Wilk test) ===
RFreq_KF: p-value = 0.6580 ✅ 정규분포
CSAT_RFreq: p-value = 0.0101 ❌ 정규분포 아님
SUBTLRWF: p-value = 0.0002 ❌ 정규분포 아님
RFreq_HAL: p-value = 0.0827 ✅ 정규분포
=== 등분산 검정 ===
Levene's test: p-value = 0.0004 ❌ 등분산 아님
Bartlett's test: p-value = 0.0000 ❌ 등분산 아님
=== 이상치 검출 ===
RFreq_KF: 이상치 없음
CSAT_RFreq: 1개 이상치 발견
SUBTLRWF: 1개 이상치 발견
RFreq_HAL: 이상치 없음
=== 종합 결과 ===
모든 가정 만족: ❌ 아니오
ANOVA 결과:
F-statistic: 13.9624
p-value: 0.0000
eta-squared: 0.3129
유의성: 유의함
Tukey's HSD 결과:
그룹 쌍별 비교:
CSAT_RFreq vs RFreq_HAL: diff = 172.351, CI[78.842,265.861], p = 0.0000 *** (유의함)
CSAT_RFreq vs RFreq_KF: diff = -3.294, CI[-96.804,90.215], p = 0.9997 (유의하지 않음)
CSAT_RFreq vs SUBTLRWF: diff = -37.161, CI[-130.670,56.349], p = 0.7265 (유의하지 않음)
RFreq_HAL vs RFreq_KF: diff = -175.646, CI[-269.156,-82.136], p = 0.0000 *** (유의함)
RFreq_HAL vs SUBTLRWF: diff = -209.512, CI[-303.022,-116.002], p = 0.0000 *** (유의함)
RFreq_KF vs SUBTLRWF: diff = -33.866, CI[-127.376,59.644], p = 0.7792 (유의하지 않음)
[LF 그룹]
🔍 ANOVA 가정 검증
=== 정규성 검정 (Shapiro-Wilk test) ===
RFreq_KF: p-value = 0.0045 ❌ 정규분포 아님
CSAT_RFreq: p-value = 0.0000 ❌ 정규분포 아님
SUBTLRWF: p-value = 0.0065 ❌ 정규분포 아님
RFreq_HAL: p-value = 0.0000 ❌ 정규분포 아님
=== 등분산 검정 ===
Levene's test: p-value = 0.0006 ❌ 등분산 아님
Bartlett's test: p-value = 0.0000 ❌ 등분산 아님
=== 이상치 검출 ===
RFreq_KF: 2개 이상치 발견
CSAT_RFreq: 3개 이상치 발견
SUBTLRWF: 이상치 없음
RFreq_HAL: 3개 이상치 발견
=== 종합 결과 ===
모든 가정 만족: ❌ 아니오
ANOVA 결과:
F-statistic: 6.5276
p-value: 0.0005
eta-squared: 0.1928
유의성: 유의함
Tukey's HSD 결과:
그룹 쌍별 비교:
CSAT_RFreq vs RFreq_HAL: diff = 40.937, CI[7.432,74.441], p = 0.0102 * (유의함)
CSAT_RFreq vs RFreq_KF: diff = 2.832, CI[-32.567,38.231], p = 0.9967 (유의하지 않음)
CSAT_RFreq vs SUBTLRWF: diff = -8.322, CI[-41.827,25.183], p = 0.9148 (유의하지 않음)
RFreq_HAL vs RFreq_KF: diff = -38.104, CI[-71.609,-4.600], p = 0.0193 * (유의함)
RFreq_HAL vs SUBTLRWF: diff = -49.259, CI[-80.755,-17.762], p = 0.0005 *** (유의함)
RFreq_KF vs SUBTLRWF: diff = -11.154, CI[-44.659,22.351], p = 0.8187 (유의하지 않음)