Types of Learning

일반적인 “learning” paradigm은 크게 다음 3가지 종류로 구분된다.

Learning?

학습이란 무엇일까?

Supervised Learning

Summary

한국어로 ‘supervised’ 는 보통 ‘지도’ 라고 변역되는데, 그래서 정답(label)이 있는 상태로 하는 학습을 일컫는다.

Example

원본 링크

Unsupervised Learning

Summary

정답 레이블이 없는 경우 하는 학습이다.
현실 데이터들은 레이블이 없는 경우가 대부분이니, 이에 더 적합하다.
비슷한 용어: representation learning, Dimension Reduction

Representation Learning

unsupervised learning과 비슷한 맥락에서도 사용될 수 있지만, 조금 다름.
표현을 학습하는 건데, supervised fine-tuning 같은 것도 그렇게 분류 될 수 있으니,
완전 포함 관계는 아니고, 교집합이 있는 정보.

데이터 차원을 줄이는 방법을 칭함.
즉, unsupervised이면서, representation learning임.

dimension reduction 은 왜 해야 할까?

  • Visualization
  • Computer Resource

Example

원본 링크

Reinforcement Learning

Summary

Reward 라고 하는 값을 long-term으로 봤을 때 maximize 하도록 function을 학습하는 기법이다.
기본적인 paradigm은 Env(환경)에 Agent를 넣고 둘 간의 interaction을 보는 것이다.
주고 받는 정보는 아래와 같으며, agent가 action을 함으로써 state가 transition되고, env로부터 reward가 계산되며 계속 action을 하는 방향으로 학습된다.

ex) games, Go, chess, etc…

Important

long-term의 reward를 극대화하는 것이 목표이므로, 단기적 손실은 희생(sacrifice)한다.

원본 링크

Comparison


  • 일단 셋 다 function을 학습한다.
    • ML의 목적은 결국, 원하는 데이터를 잘 설명하는 function을 찾는 거니까.
      → model parameter in DL
원본 링크


Data preparation (DL-workflow)

Data preparation

Dataset을 구축하는 단계
: Train-set, Validation-set, Test-set을 준비하는 단계

데이터가 적으면 train, validation은 K-Fold Cross-Validation처럼, 묶어서 쓰기도 함.

Generalization

The ability for a ML model to perform well on unseen data.
→ AGI로 갈 key이지. system-level, developer-level인지 관심이 있다면,
On the Measure of Intelligence - Reviewing

원본 링크

Building Models (DL-workflow)

Building Models

여러 모델 중 데이터 structure, type에 따라 어떠한 모델을 사용할 지 결정하는 단계.
딥러닝이면 NN(Neural Network)이겠으나, NN 들도 종류 엄청 많으니,,

Example

  • Random Forest
  • Naive bayes
  • Nearest Neighbor(k-NN)
  • Support Vector Machine(SVM)
  • Neural Network(NNs)
원본 링크

Neural Network

Neural Network(MLP: Multi-Layer-Perceptron)

perceptron에서 출발하여 이를 여러 layer 쌓은 걸 말함.

Warning

Note1. 각 Layer는 linear / non-linear function들오 연결되어 있다.
Note 2. “pattern” == “embedding”, “weights”, “feature representation”, “feature vectors” 다 비슷한 걸 가르킨다.
! Note 3 !. layer의 개수를 셀 때에는 input-layer는 제외한다.

Why Do We Need Non-linearity?


Non-Linearity

Nonlinearity

  1. 복잡한 현실 세계의 복잡한 함수를 다루기 위해
  2. matrix의 matmul이 결국 linear하니까, non-linear 함수를 중간에 끼지 않는 이상 결국은 하나의 큰 선형 시스템을 벗어날 수 없음. 세상이 선형함수로만 설명 가능할리 없잖아,,
    → 선형 연산을 거듭해도 선형.

Numerical Proof


Assume that,


where , ,

ReLU


one of non-linear activation

In this time, it is impossible to distinguish below 2 models,



where

→ 결국 linear
→ 그러니 non-linear function을 activation으로 사용하자!!

Linearly Separable ← 고민 좀 해보자. 왜 좋냐?


Important

non-linear map은 data를 linearly-separable하게 바꿀 수 있다.

Examples


Activation Functions

  • 나중에 transformer 계열에 최근 가장 많이 사용되는 GeLU 계열이나 찾아볼 것.

Summary

  • No one-size-fits-all: Choice of activation function depends on problem.
  • We only showed the most common ones, there exist many more
  • Best activation function / model is often using trial-and-error in practice
  • It is important to ensure a good “gradient flow” during optimization

Rule of Thumb

  • Use ReLU by default(with small enough lr)
  • Try Leaky ReLU, Maxout, ELU for some small additional gain
  • Prefer Tanh over sigmoid(Tanh often used in RNNs)

ReLU

ReLU(Rectified Linear Unit)

  • activation 중 하나로 대표적으로 많이 사용됨.
  • Does not saturate(for )
  • Leads to fast convergence
  • Computationally efficient

Problems

  • No learning for → dead/dying ReLU
    • downstream gradient가 0(input이 0 이하일 때,)
    • often initialize with pos. bias ()
  • Outputs are not zero-centered → introduces bias after the layer
    • sigmoid와 그 gradient는 항상 positive이기 때문에 model wight의 bias
    • 라 할 때, =
    • 모든 gradient는 동일한 부호를 가짐.

다음과 같이 구현.

ReLU

def relu(x: float) -> float:
	return np.maximum(0, x)
  • 단점들 보안을 위해 Leaky ReLU 등이 있음.

How can we calculate non-differentiable function (like ReLU)?

원본 링크

Sigmoid

Sigmoid

  • activation 중 하나로 대표적으로 많이 사용됨.
  • range:
  • Neuroscience interpretation as saturating “firing rate” of neurons

Problems

  • Saturation “kills” gradient : 입력 값의 절댓값이 커질수록 기울기 소실
    • 특히나 layer가 깊어질수록, chain-rule에 의해 곱해지는 term들이 많아질텐데, 그러면 앞 쪽에 있는 layer 들일수록 learning되지 않을 수 있지.
  • Outputs are not zero-centered → introduces bias after the layer
    • sigmoid와 그 gradient는 항상 positive이기 때문에 model wight의 bias
    • 라 할 때, =
    • 모든 gradient는 동일한 부호를 가짐.

다음과 같이 구현.

Sigmoid

def sigmoid(x: float) -> float:
	return 1 / (1 + np.exp(-x))
원본 링크

tanh

tanh(hyperbolic tangent)

  • activation 중 하나로 대표적으로 많이 사용됨.
  • range:
  • anti-symmetric
  • zero-centered

Problems

  • Saturation “kills” gradient : 입력 값의 절댓값이 커질수록 기울기 소실
    • 특히나 layer가 깊어질수록, chain-rule에 의해 곱해지는 term들이 많아질텐데, 그러면 앞 쪽에 있는 layer 들일수록 learning되지 않을 수 있지.

다음과 같이 구현.

tanh

def tanh(x: float) -> float:
	return (np.exp(x) - np.exp(-x)) / (np.exp(x) + np.exp(-x))
원본 링크

원본 링크

원본 링크

원본 링크

Training Models (DL-workflow)

Summary

이 단계에서는 model이 함수 f를 data로부터 “learn”.
→“statistical machine learning”이라고 불리는 이유.

Train

Train이라는 건, goal로 model을 유도.
goal = Loss Function, objective function

따라서 model이 loss를 최소화하는 parameter를 찾아가야 함.(Optimization)

원본 링크

Evaluating Models (DL-workflow)

When to stop "learning?"

loss 값 자체를 사용하는 건 별로, intuitive하지 않다.

  • 작은 loss는 generalization 성능을 말해주는 게 아닌, 단순 train-set에 대한 explainability를 말해주니,
  • 모델 구조, 데이터 셋, optimization method 등에 따라 값 자체가 너무 달라지니, 일관성있는 비교가 힘듦.

아래는 대표적인 evaluation metric이다.

For Regression


Important

Regression task에서, ground true(label)는 floating point value 즉, prediction value는 저 값 자체에 가까워지는 것이 목표이므로, loss 자체가 evaluation metric으로써의 기능도 할 수 있다. 따라서 아래에 있는
Mean Square Error(MSE), Mean Absolute Error(MAE) 같은 경우는 loss 임과 동시에 evaluation metric의 기능도 할 수 있다.

  • 다만, 꼭 같은 값을 evaluation metric으로 사용할 필요는 없으나, 학습하는 과정에서 사용한 loss와 metric이 일치할 경우에는 loss 가 줄어드는 정보만으로 evaluation value도 감소할 것이라 추정할 수는 있겠지.

For Classification


원본 링크

Improving Performance (DL-workflow)

Summary

앞 단계의 evaluating을 통해 학습 부진이라고 판단된다면, 성능을 올려야 함.
앞 단계의 평가로 인해 가능한 대표적인 시나리오는 다음과 같음.

Check

transfer learning은 overfitting, underfitting 모두에 사용할 수 있다는 점.

Underfitting


Underfitting

Summary


모델이 더 이상 충분히 loss 를 줄이지 못함.
Training loss가 validation loss에 비해 낮음. → model의 capacity가 충분치 못함.

Capacity vs Complexity

Capacity: 이론적으로 모델이 표현할 수 있는 function space의 크기
Complexity: 실제 학습된 모델의 표현력

Help

To solve the problem, several methods are recommended.

  • Add more layer/units to model: model의 capacity의 부족으로 인한 문제를 직접적으로 해결.
  • Tweak the learning rate : 기존에 잡힌 lr이 너무 커도 underfit이 되기도 하니, 줄여보고 판단.
    lr이 초기에 너무 커버리면, 아예 학습이 진행되지 않은 경우가 될 수도 있어서 이게 underfit 개형으로 보이는 것.
  • train for longer: 더 해보면 될 수도?
  • Transfer Learning: underfit의 요인 중 하나로 빈약한 representation을 꼽을 수 있고, 이는 이미 representation이 풍부한 pre-trained model에서 가져와서 수정하는 것으로 어느 정도 완화할 수 있음.
  • use less regularization: regularization 즉, penalty를 너무 tight하게 잡아서 모델의 학습이 지지부진한 걸 수도. 이때에는 오히려 penalty를 완화시켜서 접근.
원본 링크

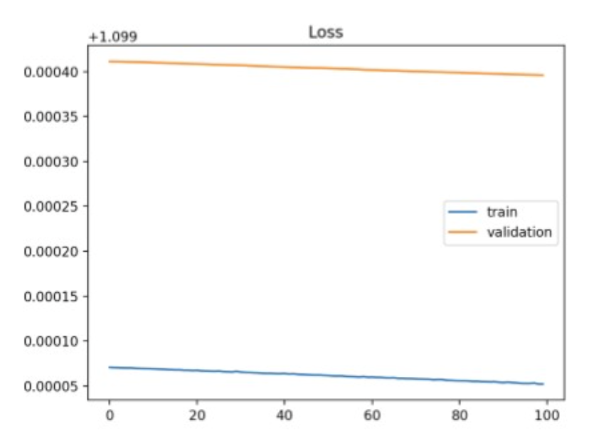
Overfitting


Overfitting

Summary


Training loss는 계속 줄지만, validation loss은 낮아지지 않음.
train을 계속하면, 모델은 train-set에만 잘 작동하는 함수로 fitting되니,
generalization이 떨어지고, validation-set 또는 unseen-data에 대해서도 loss가 커짐.

Help

To solve the problem, several methods are recommended.

  • Get more data: 사실상 이게 best. 그러나 cost-issue.
    모델한테 패턴을 학습할 기회를 더 주는 것.
  • Data Augmentation : 데이터를 더 collecting 하는 것 보단 현실적.
    train-set의 diversity를 주는 것.
  • Better Data: low-quality data를 remove.
  • Transfer Learning: task-suit 하게 준비된 set으로 fine-tune.
  • Simplify model: 모델의 capacity가 충분해서 train-set의 너무 과한 패턴을 학습한 거니, 모델의 복잡성을 줄여서 generalization performance 확보.
  • Learning Rate decay: fine-tune은 학습 후반에서 미세한 gradient에서 학습하는 거니, decaying은 후반에서 이러한 것들을 완화해줌.
  • Early Stopping: overfit 되기 전에 stop.
원본 링크

원본 링크